Pe axa numerelor de mai sus a fost reprezentată o fracţie. Numărul natural n este egal cu:
Ordinea crescătoare a fracţiilor de mai sus este:
s < r < p < q
q <p < r < s
s < r < q < p
r < p < s < q
q < s < p < r
r < q < s < p
Cel mai mic numitor comun la care pot fi aduse fracţiile de mai sus pentru a fi comparate este egal cu:
Cea mai mare dintre fracţiile de mai sus are numărătorul egal cu:
Numărul natural b este egal cu:
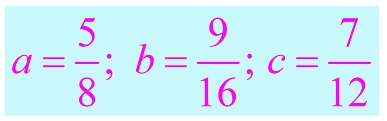
Ordinea descrescătoare a fracţiilor de mai sus este:
a > c > b
a > b > c
b > c > a
b > a > c
c > a > b
c > b > a
Cel mai mare număr natural x care îndeplineşte condiţia de mai sus este egal cu:
Bunica avea două pizza identice. Pe prima a tăiat-o în 15 bucăţi egale, iar pe cealaltă în 5 bucăţi egale. Din prima i-a dat Anei 5 bucăţi şi lui Emil 7 bucăţi. Câte bucăţi din cealaltă pizza trebuie să-i dea lui Dan, pentru ca acesta să primească mai mult ca Ana, dar mai puţin ca Emil ?