Arată toate problemele
Problema precedentă <=
=> Problema următoare
Cu cât este egală perioada fracţiei zecimale 7,203203203….. ?
Introduc răspunsul
Ordinea crescătoare a numerelor de mai sus este:
?
c < a < b
?
c < b < a
?
b < a < c
?
b < c < a
?
a < c < b
?
a < b < c
Efectuând 17:18 se obţine o fracţie periodică mixtă. Partea neperiodică a acesteia este egală cu:
Introduc răspunsul
Pentru a transforma fracţia zecimală periodică simplă 0,(938) în fracţie ordinară, în caseta galbenă trebuie scris numărul:
Introduc răspunsul
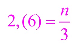
Numărul natural
n
din egalitatea de mai sus este egal cu:
Introduc răspunsul
Rezultatul calculului de mai sus este numărul natural:
Introduc răspunsul
Pentru a transforma fracţia zecimală periodică mixtă 24,17(943) în fracţie ordinară, în caseta galbenă trebuie scris numărul:
Introduc răspunsul
Ştim că
b=0,7:9
. Dacă se scrie
b
ca fracţie ordinară ireductibilă, numitorul acesteia va fi egal cu:
Introduc răspunsul
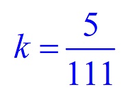
Scriind
k
ca fracţie zecimală, a 113-a zecimală este egală cu:
Introduc răspunsul
Împărţind două numere naturale pare consecutive se obţine 1,02(7). Numărul mai mare este egal cu:
Introduc răspunsul
Continuare